
It is now estimated that >30,000 whales visit South Georgia in summer, making this sub-Antarctic island the highest-density UK hotspot for recovering whales, including critically endangered Antarctic blue whales.
The majority of blubbery visitors are humpback whales, which are currently the most abundant species feeding in South Georgia in summer. However, Antarctic blue and southern right whales remain far from recovery, and substantial population increases are projected, doubling current numbers (see Antarctic blue and southern right whale projections here). Because of their previous rarity, whales were not explicitly considered in South Georgia’s conservation management planning until recently. With rapid abundance increases there is an urgent need to explicitly consider them in future management.
The Sustained Monitoring project aims to create a sustainable framework for the Government of South Georgia and South Sandwich Islands to monitor multi-season whale occurrence at South Georgia in relation to shipping, climate change, and other environmental indices in the South Georgia Marine Protected Area. This project is:
-Producing estimates of summer whale density for the north coast of South Georgia every year
-Monitoring year-round whale occurrence, vessel traffic, underwater noise, and acoustic masking using passive acoustic monitoring at the main visitor destination in Cumberland Bay;
-Developing risk-reduction protocols relating to ship-speed and noise regulations to improve environmental quality in important whale habitats, summarised in a South Georgia Baleen whale Action Plan;
-Identifying environmental drivers of whale occurrence for potential management action in relation to quota-setting for the krill fishery.
This project involves international collaborators from the following institutes: the Scottish Association for Marine Science, the International Fund for Animal Welfare (IFAW), the International Association of Antarctica Tour Operators (IAATO), HappyWhale, ORCA and the Polar Citizen Science Collective.
The project is also very grateful to the Government of South Georgia and the South Sandwich Islands for providing significant support and to the funders: Darwin Plus, the Blue Belt Programme, South Georgia Heritage Trust, and Friends of South Georgia Island.
Field Update from Cumberland Bay Acoustic Moorings Deployment
Field Team members: KEP marine biologists Katie Wells and Rhianna Nichol and project manager Stephanie Martin
Greetings from King Edward Point (KEP). In January, we finally deployed two of the acoustic moorings in Cumberland Bay! This was after almost a year and a half in delays mainly due to large icebergs in the deployment area. It was too risky that the icebergs would damaged the moorings and ice is really noisy, so we wouldn’t be able to record whale vocalizations or ship noise.
The days before deployment were busy in Stanley, Falkland Islands, working in the BAS Stanley office warehouse, going through the Cumberland Bay mooring equipment. There were also meetings to discuss the mooring deployment plans with GSGSSI fisheries patrol vessel (FPV) Captain Simon, GSGSSI CEO Laura, and Workboat Service managing director Adam. The two BAS Stanley office people were also very helpful in coordinating the transport of all of the cargo onto the fisheries patrol vessel.
Captain Simon worked with BAS on the RRS James Clark Ross and has extensive experience deploring moorings. He was brilliantly helpful in planning and asking the FPV crew to help with mooring setup and deployment.
We arrived at KEP on the morning of 22 January and KEP marine biologists Katie Wells and Rhianna Nicol also joined the ship to help set up the sound traps and the acoustic releases.

The following morning, 23 January, Captain Simon brought the FPV to the first mooring location. The FPV crew used the crane to deploy both moorings successfully. One of the deck crew members pointed out a whale blowing between the locations. It was blowing 35 knots, so we couldn’t tell the species from the deck, but it was a fantastic way to start, and hopefully, we captured our first data point!

The ORCA teams have been sending messages about their whale sightings earlier in the season. They have been sharing real-time updates when they are in the Darwin Plus Hungry Humpbacks project working area between Stromness and St. Andrews. There was a chance to meet ORCA observers Nikki and Jayne, when they visited Grytviken and shared their sightings data.
Follow us @wildwaterwhales account on Instagram, LinkedIn, and BlueSky for more updates!
First South Georgia inter-island match for a Southern Right Whale

Recently, Project Partner and field team leader, Amy Kennedy, who manages the South Georgia Right Whale (SGRW) catalogue, made the first ever individual match in South Georgia. After many, many hours looking at “at lot of bad and a few good SGRW photos with very little hope of making a match”, one female was sighted off Bird Island 22 June 2020 and resighted 05 April 2025. This whale was resighted by the Darwin Plus Hungry Humpbacks project on their last day of the field season and it was travelling north with a calf! While this may seem like a small data point, it represents lots of hours both in the field and staring at photos trying to understand when and how many whales are found in the Marine Protected Area waters of South Georgia!
Cumberland Bay Acoustic Moorings Update

King Edward Point marine biologists Katie Wells and Rhi Nichol successfully retrieved and redeployed the two single acoustic moorings Larsen and Sappho. The moorings “turnaround” happened during the bimonthly Eastern core box ECHO surveys during the end of May 2025. Rhi and Katie worked to download data from the SD cards and service the acoustic sound traps that are programmed to detect whale vocalizations and vessel noise. After servicing the equipment, the moorings were successfully redeployed by the Captain and crew of the South Georgia fisheries vessel during winter weather conditions.
Watch the video below to see the redeployment:
Project Update: Bird Island Whale Sightings Protocol
Bird Island is one of two year round stations on South Georgia, conducting valuable bird and seals studies along with opportunistic whale sightings. Project Partner and Bird Island Station Science manager Ash Bennison has been working on the Bird Island Whale Sightings Protocol. The zoological field assistants (ZFAs) who spend over a year on Bird Island survey from land when time and weather allows. One of the goals of the Sustained Monitoring projects is to set up a whale sightings protocol to increase whale data collection on Bird Island. You can view our protocol here.
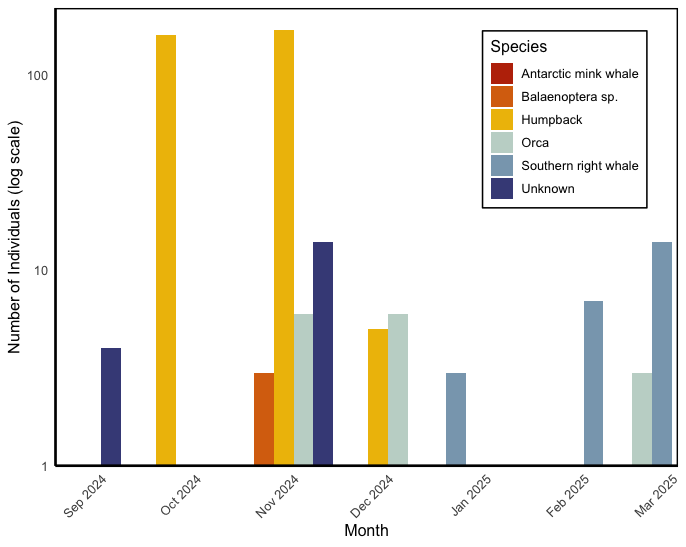
Bird Island Whale Sightings Chart
The zoological field assistants on Bird Island collect opportunistic sightings of whales from the shoreline. They collect data throughout the year and this has led to the first confirmed resighting match to South Georgia of a Southern right whale.

This chart shows the monthly abundance of cetacean species seen from Bird Island, South Georgia between September 2024 and March 2025. Abundance is presented on a log scale (each step on the axis represents a 10 fold increase in abundance) so that temporal trends among all species can be interpreted.
Whale of a Weekend Festival 26-29 June 2025
Project Leader Dr Jennifer Jackson, Project Partner and field team member Dr Joanna Kershaw, and Project Manager Stephanie Martin were invited by South Georgia Heritage Trust/Friends of South Georgia Island to participate in “Whale of a Weekend” in Dundee, Scotland. This free event was held at the Discovery Point and V&A Dundee to show the Whale Memorial sculpture and launch the Whaler’s Memory. Three of our team members were invited to participate in this great weekend. Project Leader Jen was part of a panel, “Why public art in a sub-Antarctic oasis?” on Friday night.
Jen, Joanna and Stephanie gave a presentation about the Darwin Plus Hungry Humpbacks and Sustained Monitoring of Whales at South Georgia as part of the South Georgia Whale Researchers talk. It was a great weekend connecting Scotland’s whaling history to the current research about the recovering whale populations in South Georgia!

Project Update: Bird Island- a year round cetacean observatory

George Day has recently spent two years working as a zoological field assistant (ZFA) on Bird Island (BI). When he was not busy with other duties, he spent many hours in various locations looking for whales. After a well deserved break, George has been working in the BAS Cambridge office compiling and analysing all the BI whale observations since 1979. During that time, eight species of whales were seen with southern right whales having the most sightings followed by humpback whales and then minke whales-which are normally not seen as much in other areas around South Georgia!
George is continuing his analysis but has written a short summary of his results so far which you can read here.
Cumberland Bay Acoustic Moorings Update
Science doesn’t stop during the festive season. On 24 December, King Edward Point marine biologists Rhi Nicol and Cami De Pasquale went out to the entrance of Cumberland Bay to work on the acoustic moorings. Before sailing they put together a new multi-channel acoustic soundtrap mooring. This mooring allows us to triangulate whale vocalizations to a location.

Rhi and Cami worked with the Captain and crew of the South Georgia governments fisheries patrol vessel to deploy the multi-channel mooring for the first time. In addition, they turned around the two single moorings deployed last January and serviced in May.

A fantastic effort during the busy summer and Christmas season!
Ground-breaking discovery in South Georgia waters!

For the first time, an Antarctic blue whale has been successfully matched across years in South Georgia—thanks to citizen scientists and the power of photo-identification shared through HappyWhale. This remarkable individual was first recorded in 2019 and re-sighted in 2026 during an ORCA survey conducted aboard HX’s Fram.
These sightings and images are making a vital contribution to the Sustained Monitoring of Whales in South Georgia project, strengthening long-term insights into whale presence and movement in this region.
Although confirmed Antarctic blue whale photo records here remain limited, the match provides exciting evidence of possible regional fidelity—suggesting South Georgia may host a local population rather than only transient visitors from the wider circumpolar group. This match is only made with the support of all the project partners and funding from Darwin Plus, South Georgia Heritage Trust and Friends of South Georgia Island.
This discovery highlights the growing impact of collaborative research and citizen science in revealing the hidden patterns of Earth’s largest animals.
Bird Island Update from Zoological Field Assistant Jess Callaghan

The team enjoyed a special Christmas on Bird Island.
Besides our busy schedules, here on Bird Island we try to whale watch at every available opportunity. The sheer cliffs on the North side of the island provide an excellent vantage point of the vast expanse of ocean beyond Willis, where many of our cetacean observations are made. While, the Southern side of the island is better suited to much nearer sightings, as the whales are funnelled through Bird Sound (the channel between Bird Island and the South Georgia mainland).
B Hut is an excellent spot to watch for whales. It keeps us sheltered from the winds, with welcomed views of nesting Grey-headed Albatrosses as Colony B and incoming Macaroni Penguins arriving at Big Mac, after a long day of fishing.
This chart shows whale sightings observed by the team during September through December 2025.

